当前位置:首 页 > 公益服务 > 知识产权服务
专利服务 商标服务 著作权服务 集成电路布图设计服务
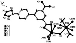
一种镉基金属有机框架材料的制备方所属分类:C部--化学;冶金 2023-11-07
钴基双金属硫化物负极材料的制备方所属分类:H部--电学 2023-11-07
一种硫化锑基全无机薄膜太阳能电池所属分类:H部--电学 2023-11-07
一种超级电容器负极材料铁酸镍及所属分类:H部--电学 2023-11-07
一种CdZnS量子点与碳点复合的所属分类:B部-作业;运输 2023-11-07
三电极反应器及其应用所属分类:G部--物理 2023-11-07
一种PN结硅片上CoP纳米颗粒的所属分类:C部--化学;冶金 2023-11-07
一种基于方波蚀刻的哑光型彩色超疏所属分类:C部--化学;冶金 2023-11-07
干胶一锅法制备的双金属功能化Zn所属分类:B部-作业;运输 2023-11-07
MOF衍生的Cu@C催化剂及其制所属分类:B部-作业;运输 2023-11-07
基于随机场和随机森林的电力线点所属分类:G部--物理 2023-11-07
一种新型石墨相氮化碳聚合物材料及所属分类:C部--化学;冶金 2023-11-07